天软金融分析.NET函数大全 > TSL函数 > 数学函数 > 统计推断

Anova_Single    

简述
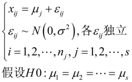
在1-alpha置信水平下,在假设服从正态分布,且方差齐性,样本之间独立的基础上,判断各水平的均值是否显著相等
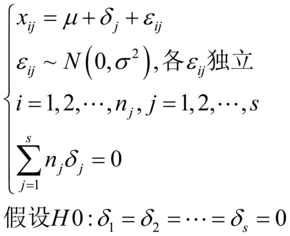
模型表达:




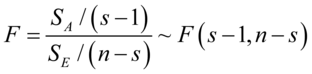
其中:效应平方和:,误差平方和:
总离差
定义
Anova_Single (Y:Array of Real;alpha:Real):array;
参数
名称类型说明
YArray of Real数据矩阵,为二维数组类型,每一行表示一个水平
AlphaReal显著性水平,实数或整数,在01之间
  • 范例

    例子来自《概率论与数理统计教程》-高等教育出版社 P379 例8.1.4
    因素A有4个水平,对A进行重复试验,获得观察值如下:
    A1=12 18
    A2=14 12 13
    A3=19 17 21
    A4=24 30
    现在显著性水平0.05下,判断以上各水平是否有显著差异
    x:=array((12,18),(14,12,13),(19,17,21),(24,30));
    alpha:=0.05;
    return Anova_Single(x,alpha);

    结果:

    结果表示拒绝原假设,即各个水平下的方差间有显著差异
    参考
    Anova_Twice Anova_Bartlett Anova_Levene 
相关