天软金融分析.NET函数大全
>
TSL函数
>
数学函数
>
统计推断
Hypoth_IndepTest
复制链接
简述
列联表检验法检验两个随机变量的独立性检验,返回的结果是一个数组,第一个数为统计值,二为p值,三为原假设的值(0表示拒绝,1表示接受)
模型表达:
原假设:H0:X 与Y 相互独立
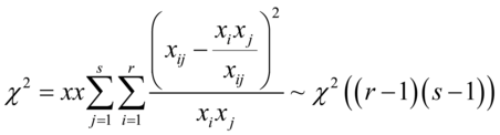
检验统计量:
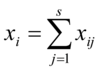
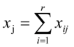
其中
,
,
定义
Hypoth_IndepTest(X:Array of Real;alpha:Real):Array;
参数
名称
类型
说明
X
Array of Real
样本矩阵,为二维数组类型
alpha
Real
显著性水平,实数或整数,在01之间
范例
X := Array((25,70,60,85,95,90,80),(70,60,20,30,15,40,35),(50,70,60,80,90,70,75));
return Hypoth_IndepTest(X,0.05);
结果:
结果表示拒绝原假设,即x与y有关
参考
Hypoth_KruskalWallis
相关
Estimate_SNU
Estimate_TNU
Estimate_SND
Estimate_TND
Estimate_SP
Estimate_TP
Hypoth_TailRes
NormPlot
Hypoth_Kstest
Hypoth_lillietest
Hypoth_IndepTest
Hypoth_KruskalWallis
Hypoth_SNUTest
Hypoth_TNUTest
Hypoth_SNDTest
Hypoth_TNDTest
Hypoth_LSUTest
Anova_Single
Anova_Twice
Anova_Bartlett
Anova_Levene
假设检验
配对检验