Hypoth_SNUTest
简述
单个正态总体的均值检验,分为标准差未知和已知两个情况,返回结果是一个数组,第一个数为统计值,二为p值,三为原假设的值(0表示拒绝,1表示接受)
模型表达:
原假设:tail取值both:

;left:

;right:
检验统计量:分为两种情况
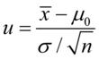
1)标准差已知时,即d有取值,为U检验:
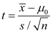
2)标准差未知时,即d取nil,为T检验:
其中:x为样本均值,

为检验均值,

为正态总体标准差,n为样本容量,s为样本标准差
Hypoth_SNUTest(x:Array of Real;u:Real;d:Real;tail:String;alpha:Real):array;
| 名称 | 类型 | 说明 |
|---|
| x | Array of Real | 样本序列,为一维数组类型 |
| u | Real | 假设检验均值,为实数类型 |
| d | Real | 正态总体的标准差,为实数类型,若未知,则输入nil |
| tail | String | 假设检验的三种类型,字符串,取值为both、left和right |
| Alpha | Real | 显著性水平,实数或整数,在01之间 |
x:=array(8.05,8.15,8.2,8.1,8.25);
u:=8;
d:=0.2;
tail:="both";
alpha:=0.05;
return Hypoth_SNUTest(x,u,d,tail,alpha);
结果:
表示接受原假设,均值等于8,该假设检验使用U检验,其中U统计量为1.677,对应的P值为0.094,在显著性水平为0.05时,不能拒绝原假设,所以我们接受原假设。结果中还给出了均值的在0.05的显著性水平下的置信区间
Hypoth_TNUTest Hypoth_SNDTest Hypoth_TNDTest Hypoth_LSUTest