天软金融分析.NET函数大全 > TSL函数 > 数学函数 > 统计推断

Hypoth_TNUTest    

简述
两个正态总体均值差的检验,分为标准差未知和已知两个情况,返回的结果是一个数组,第一个数为统计值,二为p值,三为是否接受原假设
模型表达:
原假设:tail取值both:;left:;right:
检验统计量:
标准差已知时,即d数组有取值,为u检验:
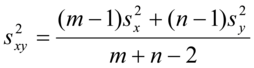
标准差未知时,即d取(nil,nil),为t检验:
其中:为样本x的均值,为样本y的均值,为正态总体x,y的方差,分别为样本x和y的容量,为联合样本标准差
定义
Hypoth_TNUTest(x:Array of Real;uu:Real;d:Real;tail:String;alpha:Real;isequal:Boolen):array;
参数
名称类型说明
XArray of Real样本序列矩阵,为二维数组类型,第一行为样本1,第二行为样本2
uuReal假设检验均值差,为实数类型
dReal正态总体的标准差数组,为一维数组类型,若未知,则输入(nil,nil)
tailString假设检验的三种类型,字符串,取值为both、left和right
AlphaReal显著性水平,实数或整数,在01之间
isequalBoolen是否同方差,布尔类型数据
  • 范例

    X := array((76.43,76.21,73.58,69.69,65.29,70.83,82.75,72.34),
    (73.66,64.27,69.34,71.37,69.77,68.12,67.27,68.07,62.61));
    uu:=0;
    d:=array(1,1);
    tail:="both";
    alpha:=0.05;
    return Hypoth_TNUTest(X,uu,d,tail,alpha,0);

    结果:

    表示拒绝均值差等于0的原假设。该假设检验使用U检验,其中U统计量为10.525,对应的P值为0.00,在显著性水平为0.05时,拒绝原假设,所以我们认为两个样本均值之差显著不为0。结果中还给出了均值差在0.05的显著性水平下的置信区间。
    参考
    Hypoth_SNUTest Hypoth_SNDTest Hypoth_TNDTest Hypoth_LSUTest 
相关