天软金融分析.NET函数大全
>
TSL函数
>
数学函数
>
时间序列分析
Time_ChoseP
复制链接
简述
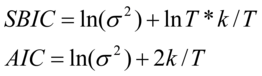
判断AR模型最佳的阶数,采用信息准则函数判断模型的最佳阶数
其中:T为样本容量,K为待估计参数
定义
Time_ChoseP(y:Array;Model:String;F:String):Integer
参数
名称
类型
说明
Y
Array
样本序列,为一维数组类型;
Model
String
模型类别为AR、MA、ARMA,为字符串类型;
F
String
判断准则为SBIC和AIC,为字符串类型
范例
x:=array(64,60,59,50,67,45);
return Time_ChoseP(x,"AR","SBIC");
//结果:1
x:=array(64,60,59,50,67,45);
return Time_ChoseP(x,"MA","SBIC");
//结果:2
x:=array(64,60,59,50,67,45);
return Time_ChoseP(x,"ARMA","AIC");
//结果:2
参考
AR
ARMA
相关
Time_Diff
Time_AutoCov
Time_ACF
Time_PACF
Time_RandomTest
Time_DanielTest
AR
ARMA
Time_ARCH
Time_GARCH
Times_ADFTest
Times_Cointergration_test
Times_ECM
Times_Granger
Time_ARp
Time_MAq
Time_ARMA
Time_GreenFun
Time_InvFun
Time_Analyse
Time_ChoseP
Times_Cointergration
GM_Estimate
Time_ARCHTest
GarchFit
Times_johansen
Times_GrangerCausality
因果推断