天软金融分析.NET函数大全 > TSL函数 > 数学函数 > 时间序列分析

Times_Granger    

简述
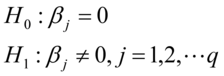
Granger因果检验,原假设:X不是Y的Granger原因,Hypothesis为1表示接受原假设,0表示拒绝原假设


原假设:

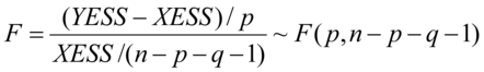
分别对上述两个回归方程做回归,提取残差平方和XESS跟YESS,则F统计量如下计算:
定义
Times_Granger(Y:Array;X:Array;Q:Integer;Alpha:Real):Array
参数
名称类型说明
YArray被解释变量,为一维数组类型
XArray解释变量,为一维数组类型
QInteger滞后阶数,为整数类型
AlphaReal显著性水平,为实数类型,一般在0-1之间
  • 范例

    //判断序列y与x的Granger因果关系,可选择滞后的阶数q(结果可参照eviews)
    y:=array(7.54676829158648,7.54414161372032,7.58345615393818,7.60165217843263,7.61018920393381,7.64528769816112,7.6195966295892,7.63970000624999,7.61661831598208,7.57774129868065,7.58292686220974,7.58832874061354,7.58924477198461,7.6087168475262,7.61009012340108,7.59476365558267,7.54814493579901,7.53037269335155,7.52424817135246,7.52376220234772,7.52320034387805,7.51366014679793,7.50703673600832);
    x:=array(4.15888308335967,4.0943445622221,4.09600984154116,4.09351088147352,4.11903717481247,4.26969744969996,4.25561270981822,4.31815455807947,4.3502779363593,4.29319542096727,4.32148013480585,4.33729074083249,4.35926964755127,4.37197629882038,4.36691299686383,4.32941668440158,4.29045944114839,4.28634138453947,4.28634138453947,4.28634138453947,4.30203600897739,4.30135873160643,4.29864502573483);
    q:=2;
    alpha:=0.05;
    return Times_Granger(y,x,q,alpha);

    结果:

    表示X是Y的Granger原因
    参考
    Times_ADFTest Times_Cointergration_test Times_ECM 
相关