Time_GARCH
简述
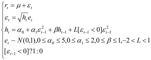
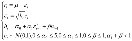
广义自回归条件异方差模型,包含四种模型:GARCH(1,1)、GJR(1,1)、IGARCH(1,1)和EGARCH(1,1),本模型采用了最大似然估计法去估计模型的系数,可做一步预测。
GARCH(1,1):
GJR(1,1):
IGARCH(1,1):
EGARCH(1,1):
最大似然估计的目标函数值为:

Time_GARCH(rSeries:Array;Model:String);
| 名称 | 类型 | 说明 |
|---|
| Rseries | Array | 资产收益率,为一维数组类型; |
| Model | String | 模型类别,为字符串类型; |
//以招商银行(收益率)为例,用GARCH(1,1)预测2008-6-20的波动率
setsysparam(PN_Precision(),-1);
SetSysParam(pn_stock(),"SH600036");
SetSysParam(pn_date(),inttodate(20080619));
N:=TradeDays(IntToDate(20070101),IntToDate(20080619));
rseries:=Nday3(N,StockLnZf3());
Model:="GARCH";
return Time_GARCH(rseries,Model);
结果:
AR ARMA Time_ARCH Time_ARCHTest