天软金融分析.NET函数大全 > TSL函数 > 数学函数 > 时间序列分析

Times_ECM    

简述
两变量间的误差修正模型,准确的刻画了两序列间的短期波动特征
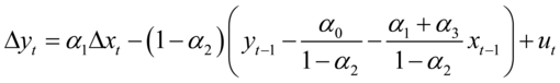
误差修正模型是时间序列间协整关系的主要表现形式,准确的刻画了序列间的长期均衡关系和短期波动特征。设一阶自回归分布滞后模型为:

其中,是均值为零,方差为的白噪声,进行适当的整理有:

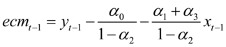
其中若记
称为误差修正项。
定义
Times_ECM(Y:Array;X:Array;resid:Array;alpha:Real;q:Int;p:Int);
参数
名称类型说明
YArray被解释变量,为一维数组类型
XArray解释变量,为一维数组类型
residArray协整检验时的残差,没有输入,使用最小二乘得到
alphaReal显著性水平
qInt整数类型,被解释变量的滞后项
pInt整数类型,解释变量的滞后项
  • 范例

    SetSysParam(PN_Rate(),1);
    SetSysParam(pn_date(),inttodate(20120918));
    SetSysParam(PN_Cycle(),cy_day());
    SetSysParam(pn_Rateday(),-1);
    SetSysParam(pn_stock(),"SH600036");
    close1 := nday3(500,close());
    SetSysParam(pn_stock(),"SH600000");
    close2 := nday3(500,close());
    ret := Times_Cointergration_test(close1,close2,1,0.05,1,"AIC");
    resid := ret["resid"];
    return Times_ECM(close1,close2,resid,0.05,2,2);

    结果:

    ECM项为负,结果表明上证指数与深证综指存在长期稳定的协整关系,可在短期内保持均衡
    参考
    Times_ADFTest Times_Cointergration_test Times_Granger 
相关