天软金融分析.NET函数大全 > 金融函数 > 债券 > 债券敏感性指标

BondMacaulayDuration2    

简述
付息周期规则且非最后周期付息周期的债券的麦考利久期中间函数。
付息周期规则:指的是债券出首尾两个付息周期外,中间的付息周期均是可以按照频率计算得到的完整的周期。
定义
BondMacaulayDuration2 (Settlementdate:TdateTime;CashFlow:Array;PV:real;f:Int;y:real):Real;
参数
名称类型说明
SettlementDateTdateTime结算日期
CashFLow:债券结算日后的未来现金流,这里的现金流包含到期现金流和含权现金流数据。(数据字段参考现金流
PV:债券现值(结算日期全价)
f:付息频率
y:到期收益率
返回Real付息周期规则且非最后周期付息周期的债券的麦考利久期
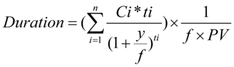
  • 算法


    其中:Ci:债券第i期现金流
    Ti:结算日到第i个付息日的付息次数。(完整周期计为1,非完整周期计算比例)
相关