BondMacaulayDuration1
简述
到期一次还本付息、零息或者最后付息周期的麦考利久期
BondMacaulayDuration1(Settlementdate:TDateTime;CashFLow:Array):Real;
| 名称 | 类型 | 说明 |
|---|
| SettlementDate | TDateTime | 结算日期
CashFLow:债券现金流,字段见现金流返回值 |
| 返回 | Real | 实数,到期一次还本付息、零息或者最后付息周期债券在指定日的麦考利久期。 |
处于最后一次付息的定期付息债
到期一次还本付息的债券
零息券
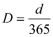
麦克劳林久期即为交割日距到期日的以年为单位的期限(即:剩余期限),即:

其中:
d 是债券结算日距到期日的实际天数