BondConvexity2
简述
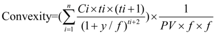
规则付息且非最后付息周期债券的凸性底层算法函数
BondConvexity2(Endt:TDateTime;CashFlow:Array;PV:Real;f:int;y:Real):Real;
| 名称 | 类型 | 说明 |
|---|
| Endt | TDateTime | 指定日期 |
| CashFLow | Array | 现金流数据 |
| PV | Real | 现值 |
| f | int | 频率 |
| y | Real | 到期收益率 |
| 返回 | Real | 规则付息且非最后付息周期债券的凸性 |
其中:Ci:第i期现金流;Ti:结算日到第i期付息日付息次数(整数周期+1,非整数周期计算比例)