天软金融分析.NET函数大全 > TSL函数 > 数学函数 > 优化

QuadTrackRoute    

简述
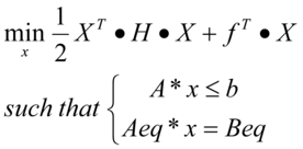
(二次规划建议统一使用prog_Q函数)解决如下二次规划模型问题:

返回该二次规划模型的最小值及其对应变量的取值;与quadprog的区别是:该函数不需要变量非负。
定义
QuadTrackRoute(H;C;A;b;Aeq;Beq;X0:Aray of real):Array
参数
名称类型说明
HAray of real二维实数数组,表示二次项目标函数系数,为对称矩阵
f 一维实数数组,表示二次规划模型的目标函数系数;
AAray of real二维实数数组,表示二次规划模型的带“”约束方程系数矩阵,如果是带“”,则将该方程两边同乘以“-1”;
BAray of real一维实数数组,表示二次规划模型带“”约束方程的约束值;
AeqAray of real 二维实数数组,表示二次规划模型带“=”约束方程系数矩阵;
BeqAray of real 一维实数数组,表示二次规划模型带“=”约束方程的约束值;
X0Aray of real变量的初始点。
  • 范例

    Find x that minimize
    f(x) = 2*x1^2+2*x2^2-x1*x2+8*x1-6x2
    subject to
    x1 + x2 ≤ 2
    2*x1 - x2 ≤ 1
    TSL代码:
    H:=Array((4,-1),(-1,4));
    f:=Array(8,-6);
    A:=Array((1,1), (2,-1));
    B:=array(2,1);
    Aeq:=array();
    Beq:=array();
    x0:=array(0,0);
    Return QuadTrackRoute(H,f,A,B,Aeq,Beq,x0);

    结果:

    结果分析:x1=-1.733333,x2=1.066667,最小值f(x)=-10.13333
    参考
    Prog_Q Quadprog QuadLagR 
相关