天软金融分析.NET函数大全 > TSL函数 > 数学函数 > 优化

IntLinProg    

简述
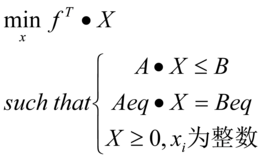
(线性规划,包括整数规划,01规划建议统一使用prog_L函数)解决如下整数规划模型问题

返回该整数规划模型的最小值及其对应变量的取值;
定义
IntLinProg(f;A;B;Aeq;Beq;IntPar:Array of Real):Array
参数
名称类型说明
fArray of Real 一维实数数组,表示整数规划模型的目标函数系数;
AArray of Real二维实数数组,表示整数规划模型的带“”约束方程系数矩阵,如果是带“”,则将该方程两边同乘以“-1”;
BArray of Real一维实数数组,表示整数规划模型带“”约束方程的约束值;
AeqArray of Real 二维实数数组,表示整数规划模型带“=”约束方程系数矩阵;
BeqArray of Real 一维实数数组,表示整数规划模型带“=”约束方程的约束值;
IntParArray of Real一维整数数组,表示要取整数的变量,缺省时表示全部变量取整;
  • 范例

    Find x that Maximum
    f(x) =40x1+90x2
    subject to
    9x1+7x2≤ 56
    7x1 + 20x2≤ 70
    0 ≤ x1, 0 ≤ x2
    x1,x2整数
    TSL代码:
    f:=array(-40,-90);
    A:=array((9,7),(7,20));
    B:=array(56,70);
    Aeq:=array();
    Beq:=array();
    IntPar:=array();
    Return IntLinprog(f,A,B,Aeq,Beq,Intpar);
    //结果:x1=4,x2=2,f(x)=-340

    参考
    Prog_L LinearProgramming OZProg 
相关