TSL语言基础 > 数学与统计教程 > 统计推断 > 非参数的假设检验 > 方差分析

方差分析检验方差    

  •   方差齐性就是检验数据在不同水平下方差是否相同.最常用的方法就是Bartlett检验和Levene检验.
      Bartlett检验思想来源于几何平均数小于或等于算术平均数
      原假设:是水平个数
      
      
      
      
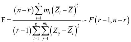
      修正的Bartlett检验:
                (6.24)
      

    Bartlett方法检验方差齐性模型Anova_Bartlett

      原假设:是水平个数
         (6.25)

      其中是观察数目,是水平数目

    Levene方法检验方差齐性模型Anova_Levene
相关