天软金融分析.NET函数大全 > TSL函数 > 数学函数 > 统计推断

Anova_Bartlett    

简述
在1-alpha的置信水平下,Bartlett方法检验方差齐性;B-Stat为统计值,P-Value为p值,df为自由度,Hypothesis为是否接受原假设
模型表达:
Bartlett检验思想来源于几何平均数小于或等于算术平均数
原假设:是水平个数



,其中
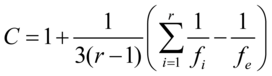
修正的Bartlett检验:
定义
Anova_Bartlett (Y:Array of Real;alpha:Real):array;
参数
名称类型说明
YArray of Real数据矩阵,为二维数组类型,每一行表示一个水平
AlphaReal显著性水平,实数或整数,在01之间
  • 范例

    因素A有4个水平,对A进行重复试验,获得观察值如下:
    A1=7.96.26.68.68.910.19.6
    A2=5.7 7.5 9.8 6.1 8.4
    A3=6.4 7.1 7.9 4.5 5 4
    A4=6.8 7.5 5 5.3 6.1 7.4
    现在显著性水平0.05下,判断以上四组数据方差是否有显著差异:
    x:=array((7.9,6.2,6.6,8.6,8.9,10.1,9.6),(5.7,7.5,9.8,6.1,8.4),(6.4,7.1,7.9,4.5,5.0,4.0),(6.8,7.5,5.0,5.3,6.1,7.4));
    return Anova_Bartlett(x,0.05);

    结果:
    array("B-Stat":0.965,"P-Value":0.81,"df":3,"Hypothesis":1)
    结果表示接受原假设,即各个水平下的方差间无显著差异
    参考
    Anova_Single Anova_Twice Anova_Levene 
相关