BondModifiedConvexity
简述
修正凸性,和BondConvexity处理一样,很多函数调用当前这个函数接口,所以保存两个凸性函数。
类似于
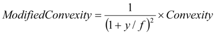
修正久期计算方法,修正凸性
其中:
f:
年付息频率
y :
到期收益率

:凸性
BondModifiedConvexity(SettlementDate:TDateTime;Option:Int):Real
| 名称 | 类型 | 说明 |
|---|
| SettlementDate | TDateTime | 结算日 |
| Option | Int | 是否行权
|
取数 |
说明 | |
0 |
持有到期(默认) | |
1 |
行权处理(主要是预估未来行权,调整现金流数据),暂不支持 |
|
| 返回 | Real | 实数,修正凸性。 |