BondBasisPointValue
简述
指定日期的债券基点价值
久期的另外一个理解:当到期收益率变化100个bps的时候,久期大致等于债券价格的百分比变化。假设:久期=7.2,表示当到期收益率变化100个bps的时候,债券价格大致变化7.2%。
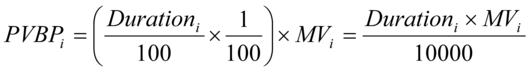
基点价值,是指利率变动一个基点(1bps)债券价格的变动情况。即:指到期收益率每变化一个基点时引起的债券价格的绝对变动额,也就是0.01个百分点(1个bps)时,债券价格的变动值
其中:
Duration:债券
Macauley久期
MV:
债券市值
要说明的是:此方法是一种近似算法。稍微准确点算法,应该是按照债券久期计算方法:
按照债券全价PV0、票面利率、剩余期限等,计算
债券到期收益率y
假设y+0.01%,计算债券全价PV+和债券价格变动
假设y-0.01%,计算债券全价PV-和债券价格变动
一般而言,当y+/-0.01%时,债券的全价变化不大,且

。近似可取
按照基点价值的定义

BondBasisPointValue(SettlementDate:TDateTime;MarketValue:Real;Option:int):Real;
| 名称 | 类型 | 说明 |
|---|
| SettlementDate | TDateTime | 日期,结算日 |
| MarketValue | Real | 实数,债券市值 |
| Option | int | 是否行权
|
取值 |
说明 | |
0 |
持有到期(默认) | |
1 |
行执行期权(调整现金流),暂不支持 |
|
| 返回 | Real | 实数,指定日期的基点价值。 |
债券SH010107在指定日2018/4/8持有10000市值的基点价值-持有到期
Setsysparam(pn_Stock(),"SH010107");
Endt:=20180408T;
MV:=10000;
Return BondBasisPointValue(Endt,MV); //返回3.05