Regress_JBTest
简述
在1-alpha的置信水平下,Jarque-Bera检验:检验y是否符合正态分布;返回一个数组,第一个数为Jarque-Bera统计值,二为p值,三为原假设的值(0表示拒绝,1表示接受);
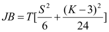
Jarque-Bera统计量:
其中:S、K分别表是随即变量的偏度和峰度;T:样本容量;
Jarque-Bera统计量服从渐进的

分布。
原假设:随机序列为正态分布
Regress_JBTest(y:array;alpha:Real):array;
| 名称 | 类型 | 说明 |
|---|
| y | array | 随即序列,接受检验的序列,一维数组类型 |
| Alpha | Real | 1-alpha为置信水平,一般为5%,也有1%和10%,数值越小,判断越严格; |