天软金融分析.NET函数大全
>
TSL函数
>
数学函数
>
回归
>
回归检验
Regress_DWTest
复制链接
简述
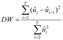
德宾-沃森检验:检验随机误差项是否存在一阶自相关。结果返回DW统计量
DW统计量:(一般认为值在2附近,则随机误差项不存在自相关)
定义
Regress_DWTest(U:array):Integer;
参数
名称
类型
说明
U
array
方程残差,为一维数组类型;
范例
U:=array(0.245863,0.056726,-0.145411,-0.287547,-0.410684,0.012821,0.073042, 0.201905,0.136768);
return Regress_DWTest(u);//结果:0.7874
参考
Regress_CMLS
Regression
相关
Regression_WLS
Regress_MLS
Regress_CMLS
Regression
Regress_Stepwise
Regress_pri
Regress_Ridge
Regress_NLM
Regress_Binary
Regress_Logistic
Regress_Constraint
Regress_RSquare
Regress_AdjustedR2
Regress_FTest
Regress_TTest
Regress_DWTest
Regress_JBTest
Regress_AicAndSbic
Regress_White
Regress_WLS
Regress_QRlsq
Regress_VIF
boxcox
Regress_TTest_RWLS
Regress_HettestSpearman
Regress_TTest_White
Regress_TTest_NW
Regression_OLS_White
Regression_OLS_NW
NW_Adjustment_Simplification
Robustfit_M
Regress_GRStest