Hypoth_SNDTest
简述
单个正态总体方差的卡方检验,返回的结果是一个数组,第一个数为统计值,二为p值,三为原假设的值(0表示拒绝,1表示接受)
模型表达:
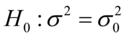
原假设:tail取值both:

;left:

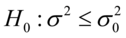
;right:
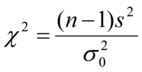
检验统计量:
其中:

为假设检验的方差,n为样本容量,s为样本标准差
Hypoth_SNDTest(x:Array of Real;d2:Real;tail:String;alpha:Real):array;
| 名称 | 类型 | 说明 |
|---|
| X | Array of Real | 样本序列,为一维数组类型 |
| d2 | Real | 假设检验的方差,为实数类型 |
| tail | String | 假设检验类型 |
| Alpha | Real | 显著性水平,实数或整数,在01之间 |