天软金融分析.NET函数大全
>
金融函数
>
行情
>
N日
Stock_Volatility_RS
复制链接
简述
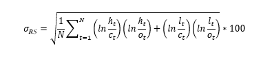
计算RS波动率因子,使用最高价、最低价、开盘价、收盘价计算出的波动率(%),与系统证券、时间、周期相关
定义
Stock_Volatility_RS (N:Int):real
参数
名称
类型
说明
N
Int
整型,过去N日
返回
real
实数,计算RS波动率因子
范例
//万科A、20230118T、日线的RS波动率(%)因子
SetSysParam(PN_Stock(),"SZ000002");
SetSysParam(PN_Date(),20230118T);
SetSysParam(PN_Cycle(),cy_day());
return Stock_Volatility_RS(30); //2.1315
相关
StockVolSum2
MarketTradeDayQk2
StockAmountSum2
StockAveHsl2
StockHigh2
StockHighAmount2
StockHighVol2
StockHsl2
StockLow2
StockLowAmount2
StockLowVol2
StockMaxRateDown2
StockMaxRateUp2
StockOpen2
StockPjCj2
StockPrevClose2
StockPriceDownDay2
StockPriceFlatDay2
StockPriceUpDay2
StockPriceZd2
StockTradeDayQk2
StockZdf2
StockZf2
VolSum2_
LastTradeDay
MarketLastTradeDay
StockHighClose2
StockLowClose2
StockStdev2
IncMonthTradeDay
stockavgclose2
markettradedayqk4
marketnexttradedayn
marketlasttradedayn
stockvolavg
indexnhvixqk
中间函数
Stock_UpPercent
Stock_ZfPercent
Stock_MABiasRate
Stock_MATrend
Stock_MABreakout
Stock_Volatility_RS
Stock_Volatility_GK
Stock_Volatility_PK
Stock_Volatility_YZ
Stock_IntradayVolatilityTrend_RS
Stock_IntradayVolatilityTrend_GK
Stock_IntradayVolatilityTrend_PK
Stock_IntradayVolatilityTrend_YZ
Stock_StdMABreakout
MarketTradeday1
Pn_IndexID
MarketNextTradeDay
StockMaxDrawUp2
StockProfitLossRatio2
StockWinRate2