| 名称 | 类型 | 说明 |
|---|---|---|
| x | Array | 二维数字数组, 自变量,不需要包含全1列 |
| a | Array | 一维数字数组,回归系数, 有常数项回归时,a 为 常数项系数 union 自变量系数,
无常数项回归时,a 为 自变量系数 |
| u | Array | 一维数字数组,残差序列,一维数字数组 |
| alpha | Real | 实数,显著性水平,应为0到1之间的值,默认0.05 |
| constant | Boolean | 布尔型,回归是否包含常数项,默认为’True’,包含常数项 |
| V_OLS | Array | 二维数字数组,回归系数协方差矩阵,中间计算变量,无返回,但后续可以直接调用 |
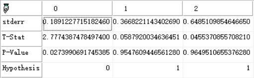
| 返回 | Array | 数据表, T检验结果 |
