TSL语言基础 >
数学与统计教程 >
统计推断 >
参数估计
两正态总体参数区间估计

,两个样本的容量都是m,n.

的置信区间:

已知时,

(6.8)

未知,但相等,

,两样本相互独立我们可以得到:

(6.9)
由式7.8及7.9,我们可以知道:

(6.10)
其中:

已知,不相等时

(6.12)
其中
标准差未知和已知两种情况求两个正态总体均值差的置信区间模型:
Estimate_TNU
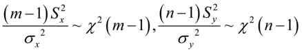
方差之比的置信区间:

两样本相互独立我们可以得到:

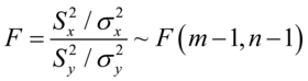
(6.13)
同样由

得到:

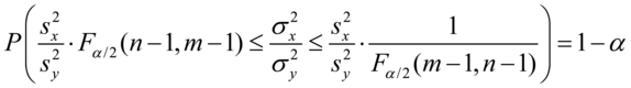
(6.14)
同理可以求得

的单侧置信下界:

,
单侧置信上界
求两个正态总体方差之比的置信区间:
Estimate_TND