StockVsIndexKLine
简述
股票与大盘指数叠加
StockVsIndexKLine(Stocks;IndexName;Stocks2;FirstValue;BegT;EndT;RateType;bonusInfection;NewStockToIndex;ShowCycleName;ShowType):TableArray
| 名称 | 类型 | 说明 |
|---|
| Stocks | String | 字符串,股票代码,以分号分割 |
| IndexName | String | 字符串,指数代码 |
| Stocks2 | String | 字符串,股票代码,以分号分割 |
| FirstValue | integer | 用户自定义,开始日指数取值,含义如下表: |
| BegT | TDateTime | 日期型时间,开始时间 |
| EndT | TDateTime | 日期型时间,截止时间 |
| RateType | integer | 用户自定义,计算方法,含义如下表:| 显示名 | 值 | | 总市值加权 | 0 | | 流通市值权 | 1 | | 总股本加权 | 2 | | 流通股本加权 | 3 | | 等权重 | 4 | | 等股数 | 5 | | 流通市值平方根加权 | 6 | | 总市值平方根加权 | 7 |
|
| bonusInfection | Boolean | 布尔类型,是否考虑分红 |
| NewStockToIndex | integer | 整数,新股计入指数日 |
| ShowCycleName | String | 周期函数,显示周期 |
| ShowType | integer | 用户自定义,返回类型,0表示图形,1表示数据 |
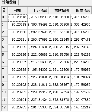
| 返回 | Array,TableArray | 股票与大盘指数叠加 |
Return StockVsIndexKLine("SH600718",
"SH000001",
"SH600567",
-1,
inttodate(20120618),
inttodate(20120926),
1,true,2,cy_day(),1);
//结果:
