StockSCZL_LDXZS
简述
市场质量-流动性指数。流动性指数,也可称为价格影响成本指数,是指使价格发生一定程度变化所需要的交易金额,越大,市场流动性越好。与当前证券、时间有关,不复权,与周期无关,计算的是当前时间所在日的指标结果。
StockSCZL_LDXZS(R1:real;R2:real;returnType:Integer):real
| 名称 | 类型 | 说明 |
|---|
| R1 | real | 实数,上升百分比(%) |
| R2 | real | 实数,下降百分比(%) |
| returnType | Integer | 整型,返回的类型
|
显示名 |
取值 | |
算术平均 |
0 | |
最大值 |
1 | |
最小值 |
2 | |
标准差 |
3 |
|
设

分别表示股票i在t时刻限价订单薄中的多个卖出价格,且

,

分别表示

所对应的数量;

分别表示股票i在t时刻限价订单薄中的多个买入价格,其中

,

分别表示

所对应的数量,则
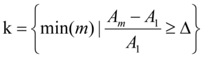
在t时刻使价格上升△的流动性指数为:

,其中
使价格下降△的流动性指数为:

,其中
t时刻价格上升或下降1%的流动性指数为上升的流动性指数和下降的流动性指数之平均值。
//流动性指数上升百分比(%)=0.3,下降百分比(%)=0.1,计算平安银行2018年8月22日的流动性指数标准差
SetSysParam(PN_Stock(),'SZ000001'); //设置股票代码
SetSysParam(PN_Date(),20180822T); //设置日期时间
Return StockSCZL_LDXZS(0.3,0.1,3);
//返回:3468487.09//即平安银行(SZ000001)2018-08-22的流动性标准差为:3468487.09