Time_ARCH
简述
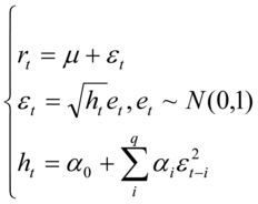
自回归条件异方差模型,本模型的ARCH模型如下:

sss
可把异方差方程进行整合,得到
用最小二乘法去估计方程的系数了,得到系数的相合估计。
或者用最大似然估计去估计参数,得到精度估计,最大似然估计的目标函数值为:

Time_ARCH(rSeries:Array; Q:Integer;L:Integer):array
| 名称 | 类型 | 说明 |
|---|
| rSeries | Array | 资产收益率,为一维数组类型; |
| q | Integer | 自回归阶数,为整数类型; |
| l | Integer | 预测步长,为整数类型 |
//以招商银行(收益率)为例,用ARCH(q)预测2008-6-20的波动率//
SetSysParam(pn_stock(),"SH600036");
SetSysParam(pn_date(),inttodate(20080619));
N:=TradeDays(IntToDate(20070101),IntToDate(20080619));
r:=Nday3(N,StockLnZf3());
q:=1;
l:=1;
return Time_ARCH(r,q,l);
结果:
AR ARMA Time_GARCH Time_ARCHTest