天软金融分析.NET函数大全 > TSL函数 > 数学函数 > 灰色系统

GM_Initial    

简述
数据初始化,提供了几种数据变换的方法,有初值化、均值化、最小值化、最大值化、按行区间值化、按列区间值化、归一化、逆化、倒数化和始点零化处理原始的序列

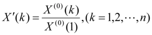
1)初值化:
2)均值化:
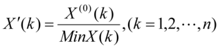
3)最小值化:
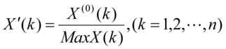
4)最大值化:

5)按行区间值化:



6)按列区间值化:



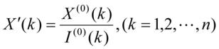
7)归一化:
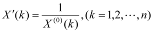
8)逆化:
9)倒数化:
10)始点零化:
定义
GM_Initial(X:Matrix;Method:String;un:Array):array
参数
名称类型说明
XMatrix数据矩阵,为二维数组类型;
MethodString处理方法(ini,mean,min,max,rrange,crange,norm,inv,rec,zero),为字符串类型;
unArray归一化单位,为一维数组类型
  • 范例

    初值化:代码如下
    x:=array((1,2,3),(2,3,4));
    un:=array();
    return GM_Initial(x,"ini",un);

    结果:

    均值化:
    TSL代码如下
    x:=array((1,2,3),(2,3,4));
    un:=array();
    return GM_Initial(x,"mean",un);

    结果:

    按行区间值化
    TSL代码如下
    x:=array((1,2,3),(2,3,4));
    un:=array();
    return GM_Initial(x,"rrange",un);

    结果:

    归一化
    TSL代码如下
    x:=array((1,2,3),(2,3,4));
    un:=array(1,2);
    return GM_Initial(x,"norm",un);

    结果:
    参考
    GM_Corr GM_AGO GM_Icorr GM_Scorr GM_Estimate 
相关