天软金融分析.NET函数大全
>
金融报表分析
>
教学范例
>
数值分析
>
特殊函数
Demo_sf_Normal
复制链接
简述
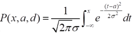
sf_Normal()函数教学函数。正态分布函数,带入期望a=3,标准差d=15,随机变量x=-10求积分值。
定义
Demo_sf_Normal():real
参数
名称
类型
说明
返回
real
实数
算法
范例
return demo_sf_Normal();
//返回:0.19
相关
Demo_sf_IntegerBessel_2
Demo_sf_IncompleteGamma
Demo_sf_RealBessel_1
Demo_sf_F
Demo_sf_t
Demo_sf_SinX
Demo_sf_IncompleteBeta
Demo_sf_Normal
Demo_sf_EllipseX_2
Demo_sf_eX
Demo_sf_IntegerBessel_1
Demo_sf_Beta
Demo_sf_Error
Demo_sf_EllipseX_1
Demo_sf_CosX
Demo_sf_RealBessel_2
Demo_sf_Gamma
Demo_sf_X2