TSL语言基础
>
数学与统计教程
>
统计推断
>
非参数的假设检验
KruskalWallis秩和检验
复制链接
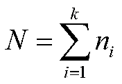
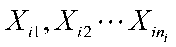
设
个连续型随机变量(总体)
相互独立,
,
,
是来自第
个总体
的容量为
的样本,
.
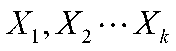
设
,不妨设为1,原假设:
统计量构造基本思路:将k个样本混合起来,算出所有数据在混合样本中的秩,记
的秩为
,对于每一个样本的观测值的秩求平均得到
.如果每个
很不一样,我们就有必要怀疑原假设了.
(6.22)
其中
.
两个或多个随机变量的独立性检验模型
:
Hypoth_KruskalWallis
相关
独立性检验
KruskalWallis秩和检验
分布特征检验
方差分析
符号检验
Wilcoxon符合秩检验
McNemar检验