BondMacaulayDuration2_sub
简述
麦克劳林久期(不处于最后付息周期的定期付息债),与系统证券pn_stock()有关。
BondMacaulayDuration2_sub(PV:Real;C:Real;f:Int;y: Real;d:Int;n:Int;M: Real;TS:Int):Real
| 名称 | 类型 | 说明 |
|---|
| PV | Real | 实数,债券全价 |
| C | Real | 实数,票面年利息 |
| f | Int | 整数,年付息频率 |
| y | Real | 实数,到期收益率 |
| d | Int | 整数,债券结算日至下一最近付息日之间的实际天数 |
| n | Int | 整数,结算日至到期兑付日的债券付息次数(剩余付息次数) |
| M | Real | 实数,债券面值 |
| TS | Int | 整数,当前付息周期的实际天数 |
| 返回 | Real | 实数 |
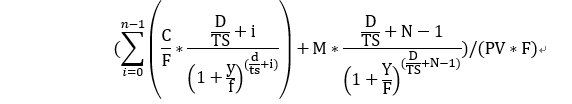
不处于最后付息周期定期付息债的久期=
//返回“SH010107”的麦克劳林久期(不处于最后付息周期的定期付息债)
Setsysparam(pn_Stock(),"SH010107");
return BondMacaulayDuration2_sub(107.1642,4.26,2,0.033429,175,18,100,184);
//结果:7.6