天软金融分析.NET函数大全
>
TSL函数
>
数学函数
>
统计函数
Kurt
复制链接
简述
峰度。
定义
Kurt (t:array;Kurt_:real)
参数
名称
类型
说明
T
array
一维数字数组,一维数据
real
实数,返回的峰度
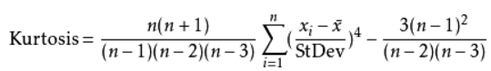
算法
其中n为序列长度,其中Stdev为标准差。
范例
kurt(array(1,2,3,4,5),s);
return s;
//返回:-1.2
相关
Cov
Correl
Slope
Intercept
Rsq
Steyx
Slopeandintercept
VariationCoefficient
Skew
SelfStddev
RegressionChannel
Kurt
MeanAndPopnStdDevWithRate
BetaAndAlpha
扩充统计
含NAN统计
correlpaired
correlpaired_side