| 名称 | 类型 | 说明 |
|---|---|---|
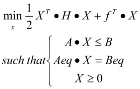
| H | Array of Real | 二维实数数组,表示二次项目标函数系数,为对称矩阵 |
| f | Array of Real | 一维实数数组,表示二次规划模型的目标函数系数; |
| A | Array of Real | 二维实数数组,表示二次规划模型的带“ ”约束方程系数矩阵,如果是带“ ”,则将该方程两边同乘以“-1”; |
| B | Array of Real | 一维实数数组,表示二次规划模型带“ ”约束方程的约束值; |
| Aeq | Array of Real | 二维实数数组,表示二次规划模型带“=”约束方程系数矩阵; |
| Beq | Array of Real | 一维实数数组,表示二次规划模型带“=”约束方程的约束值; |
