StdDev
简述
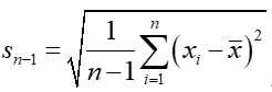
计算一组数据的标准差的估计(样本标准差),数学公式如下:

StdDev(Data: Array of Real;RC:Int;ML:Int;ASSIGN:Int;ABNORMAL:Int;FILL:Any):Real or Array;
| 名称 | 类型 | 说明 |
|---|
| Data | Array of Real | 存放实数的数组 |
| RC | Int | 可选参数,行列选择:0求列样本标准差;1求行样本标准差;默认为0 |
| ML | Int | 可选参数,移动步长,默认不移动 |
| ASSIGN | Int | 可选参数,对字段筛选,指定某些行列,求其样本标准差;默认全部 |
| ABNORMAL | Int | 可选参数,异常处理参数,按照存储位来进行管理:
第一位管理的是是否忽略字符串异常值(这里nil值是默认跳过的),
第三位管的是计算移动长度的时候,nil值及字符串是否包括在内。
这样的话:
0表示一般处理,即字符串报错(默认情况);
1表示,字符串不报错;
4表示字符串报错,计算移动单位时忽略nil值;
5表示字符串也不报错,计算移动单位时忽略nil值和字符串值; |
| FILL | Any | 可选参数,data 为空时的返回 |
| 返回 | Real or Array | 样本标准差 |
范例01:一维数组求样本标准差
a:=array(5.3,3.9,5.6,5,7.5,7.6);
return StdDev (a);
//结果:1.46070759108956 //样本a的标准差
范例02:二维数组指定列+指定步长计算样本标准差
arr:=rand(10,array("A","B"));
ml:=length(arr); //移动步长--指定大于等于总长度数,则统计从首行到当前行的区间
arr[:,"A-样本标准差"]:=StdDev(arr,0,ml,"A");
return arr;
结果:
统计函数功能拓展 SumOfSquares Norm PopnStdDev Variance PopnVariance