TSL语言基础 > 数学与统计教程 > 优化方法 > 组合优化

一般组合优化模型    

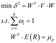
  •   一般组合优化包括的两种常见模型,是Markowitz的均值—方差模型和Roll的给定最小跟踪误差的前提下,最大化组合收益模型。其数学公式如下:
      组合风险极小化:
                (9.7)

      组合收益极大化:
               (9.8)

    其中:
      1)为组合个股权重
      2)为组合收益率
      3)为跟踪误差;
      4)为组合收益率协方差矩阵
      注:实际中的模型可以做任意的约束而不仅仅局限于上述数学模型中的约束。