TSL语言基础 > 数学与统计教程 > 时间序列分析 > 协整分析

Granger因果检验    

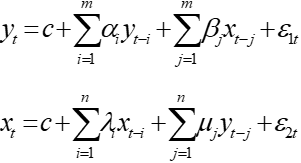
  •   Granger因果关系检验是研究两个变量是否存在因果关系的常用方法。因果性检验假定了有关x和y每一变量预测的信息全部包含在这些变量的时间序列中,检验构造的回归模型为:



    Granger因果检验模型Times_Granger
    Granger因果分析模型Times_GrangerCausality