TSL语言基础 > 数学与统计教程 > 回归分析

非线性回归    

  •   有些非线性模型是可以通过对应的函数变化将之线性化的,如下:
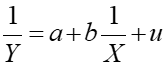
        1)倒数模型:

      只要令
        2)k阶多项式模型

        3)对数模型

        4)可间接线性化的模型

      当然大部分的非线性不可以线性化,可以给定其其一般形式为
    (7.32)

      其中,个解释变量;为参数的集合,且解释变量与参数的维数没必要相等。为非线性函数,运用前面的方法,显然已经不可以将模型转化为标准化的线性模型。
      非线性最小二乘:
    (7.33)

      在处达到最小,这样称为参数的非线性最小二乘估计值。非线性没有现成的公式可以套用,只能通过初值设置反复迭代,且求出的只是一定精度下的近似解。

    多元非线性回归模型Regress_NLM