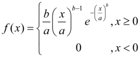
概率密度函数:
(5.38)
其中,

是随机变量,

是比例参数,

是形状参数.显然,它的分布函数是扩展的指数分布函数,威布尔与很多分布都有关系.如,当

,它是指数分布,

时,是瑞利分布.
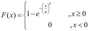
分布函数:

(5.39)
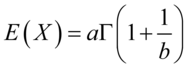
期望:
图5-22威布尔分布的概率密度函数
相关函数:
sf_wblpdf(x:array,a:real,b:real,v:array)
sf_wblcdf (x:array,a:real,b:real,v:array)
sf_wblinv(y:array,a:real,b:real,v:array)
Randwbl (a:real,b:real,rowNum:Integer,colNum:Integer)
各参数说明:
x:随机变量 ,实数,一位数字数组,二维数字数组
y:分布函数值,实数,一维数字数组,二维数字数组
a:比例参数,实数,大于0
b:形状参数,实数,大于0
v:返回变参,概率或累计概率或随机变量,维度和函数第一个变量一致
row:行数,也可以是行名数组
col:列数,也可以是列名数组
更多请参考各函数帮助说明:
sf_wblpdf,
sf_wblcdf,
sf_wblinv,
Randwbl