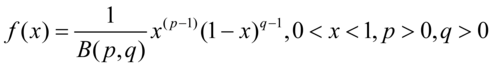
概率论中还有一种称为贝塔

分布的概率密度分布函数(如图5-20).它的数学形式:
(5.34)
图5-20贝塔分布概率密度
这里的变量x仅能出现于0到1之间,p,q是两个大于0的参数.B(p,q) 的含义是:
(5.35)
它与

函数,有如下关系:
(5.36)
相关函数:
sf_betapdf(x:array,a:real,b:real,v:array)
sf_betacdf (x:array,a:real,b:real ,v:array)
sf_betainv1(y:array,a:real,b:real,v:array)
Randbeta(a:real,b:real,row:Integer,col:Integer)
各参数说明:
x:随机变量 ,实数,一位数字数组,二维数字数组
y:分布函数值,实数,一维数字数组,二维数字数组
a:beta分布参数1,实数,大于0;
b:beta分布参数2,实数,大于0;
v:返回变参,概率或累计概率或随机变量,维度和函数第一个变量一致
row:行数,也可以是行名数组
col:列数,也可以是列名数组
更多请参考各函数帮助说明:
sf_betapdf,
sf_betacdf,
sf_betainv,
Randbeta