伽玛分布是统计学的一种连续概率函数。gam分布中的参数

,称为形状参数,

称为尺度参数。
令

,且令

,即
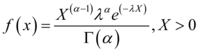
概率密度:

,

,
我们一般使用:

来计算分布的概率密度.
分布函数:直接调用不完全gam函数

得到.
数字特征:
加成性:当两随机变量服从Gamma分布,互相独立,且单位时间内频率相同时,Gamma分布具有加成性.
(5.33)
图5-19 gam分布概率密度图
相关函数:
sf_gampdf(x:array,a:real,b:real,v:array)
sf_gamcdf (x:array,a:real,b:real,v:array)
sf_gaminv(y:array,a:real,b:real,v:array)
Randgam(a:real,b:real,rowNum:Integer,colNum:Integer)
各参数说明:
x:随机变量 ,实数,一位数字数组,二维数字数组
y:分布函数值,实数,一维数字数组,二维数字数组
a:形状参数,大于0的实数
b:尺度参数,大于0的实数
v:返回变参,概率或累计概率或随机变量,维度和函数第一个变量一致
row:行数,也可以是行名数组
col:列数,也可以是列名数组
更多请参考各函数帮助说明:
sf_gampdf,
sf_gamcdf,
sf_gaminv,
Randgam