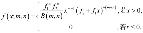
称随机变量服从参数为

的

分布,如果他有密度
(5.30)
其中,

,

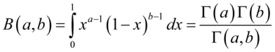
是

函数.
(5.31)
图6-18 F分布的密度函数
F分布亦叫做方差之比分布和斯奈迪克分布.F分布和卡方分布有类似的形状.F分布在统计中用于方差的比较,在方差分析,回归分析和相关分析中都有重要的应用.
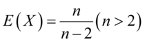
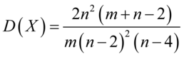
数字特征:

,

.
F分布的典型模式:
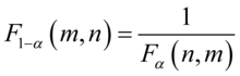
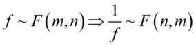
F分布的倒数形式:
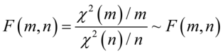
F分布和T分布:
分位数:

(5.32)
相关函数:
sf_fpdf(x:array,v1:real,v2:real,ret:array);
sf_fcdf (x:array,v:real,ret:array)
sf_finv1(y:array,v1:real,v2:real,ret:array)
Randf(v1:real,v2:real,rowNum:Integer,colNum:Integer)
各参数说明:
x:随机变量 ,实数,一位数字数组,二维数字数组
y:分布函数值,实数,一维数字数组,二维数字数组
v1:分子自由度,大于0的实数;
v2:分母自由度,大于0的实数;
ret:返回变参,概率或累计概率或随机变量,维度和函数第一个变量一致
row:行数,也可以是行名数组
col:列数,也可以是列名数组
更多请参考各函数帮助说明:
sf_fpdf,
sf_fcdf,
sf_finv1,
Randf