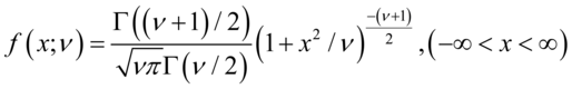
T分布亦称学生分布,它的概率密度函数是:
(5.27)
则称随机变量服从自由度为

的T分布.T分布曲线和标准正态分布曲线非常接近,它关于纵坐标对称.T分布的最大值比标准正态分布的略小,而尾部更厚.
图5-17 T分布概率密度
数字特征:

,
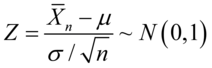
与正态分布:设

,

是服从自由度为

的

分布变量,且与

独立,则随机变量

服从自由度为

的

分布.
当自由度

,

分布的极限是标准正态分布.在实际应用中,当

时即可用标准正态分布来逼近

分布.实际上,只有当

时才会强调两者之间的差距.

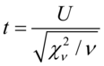
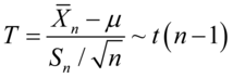
为独立正态随机变量

,

为样本均值.

为样本方差
(5.28)
(5.29)
相关函数:
sf_tpdf(x:array,v:real,ret:array)
sf_tcdf (x:array,v:real,ret:array)
sf_tinv1 (y:array,v:real,ret:array)
Randt(v:real,row:Integer,col:Integer)
各参数说明:
x:随机变量 ,实数,一位数字数组,二维数字数组
y:分布函数值,实数,一维数字数组,二维数字数组
v:T分布自由度,实数;
ret:返回变参,概率或累计概率或随机变量,维度和函数第一个变量一致
row:行数,也可以是行名数组
col:列数,也可以是列名数组
更多请参考各函数帮助说明:
sf_tpdf,
sf_tcdf,
sf_tinv1,
Randt