若来自正态总体的

个随机变量

相互独立,且数学期望为0、方差为1(即服从标准正态分布),则随机变量

(

)被称为服从自由度为

的卡方分布,记作

.
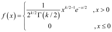
图6-16卡方分布密度函数
概率密度函数(图5-16):
(5.24)
分布函数:
(5.25)
其中

为不完全Gamma函数
卡方分布的可加性:若

相互独立,且都服从卡方分布,自由度为

,则

服从自由度为

的

分布.
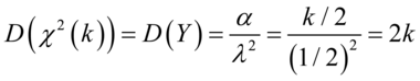
卡方分布常用于假设检验和置信区间的计算,还可以用来测试随机变量之间是否相互独立,也可用来检测统计模型是否符合实际要求.自由度为

的卡方变量的平均值是

,方差是

. 卡方分布是伽玛分布的一个特例,它的熵为:
(5.26)
其中

是双伽玛函数.卡方变量与Gamma变量的关系是当Gamma变量频率

为1/2时,

的2倍为卡方变量之自由度即:
相关函数:
sf_sh2pdf(x:array,v:real,ret:array)
sf_sh2cdf(x:array,v:real,ret:array)
sf_sh2inv(y:array,v:real,ret:array)
Randsh2(v:real,row:Integer,col:Integer)
各参数说明:
x:随机变量 ,实数,一位数字数组,二维数字数组
y:分布函数值,实数,一维数字数组,二维数字数组
v:卡方分布自由度,实数;
ret:返回变参,概率或累计概率或随机变量,维度和函数第一个变量一致
row:行数,也可以是行名数组
col:列数,也可以是列名数组
更多请参考各函数帮助说明。