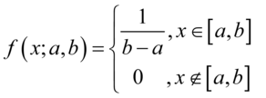
称随机变量服从

上的均匀分布如果它有密度:
(5.8)
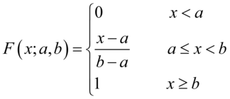
分布函数:
(5.9)
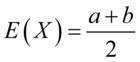
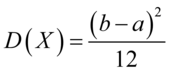
数字特征:

,
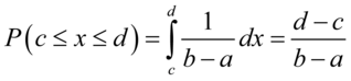
均匀分布具有下属意义的等可能性.若

,则

落在

内任一子区间

上的概率:
(5.10)
只与区间

的长度有关,而与他们的位置无关.
相关函数:
sf_unifpdf(x:array,a:real,b:real,v:array)
sf_unifcdf (x:array,a:real,b:real,v:array)
sf_unifinv (y:array,a:real,b:real,v:array)
Randunif(a:real,b:real,row:Integer,col:Integer)
uniffit(x:array,alpha:Real);
各参数说明:
x:随机变量 ,实数,一位数字数组,二维数字数组
y:分布函数值,实数,一维数字数组,二维数字数组
a:均匀分布的下限,实数
b:均匀分布的上限,实数;
v:返回变参,概率或累计概率或随机变量,维度和函数第一个变量一致
row:行数,也可以是行名数组
col:列数,也可以是列名数组
alpha:显著性水平,为0,1之间的实数,缺省为0.05
更多请参考各函数帮助说明:
sf_unifpdf,
sf_unifcdf,
sf_unifinv,
Randunif,
uniffit