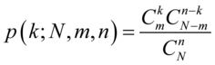
超几何分布是统计学上一种离散概率分布.它描述了由有限个物件中不放回的抽出n个物件,成功抽出指定种类的物件的次数.例如在有N个总体,其中m个是不及格的.超几何分布描述了在该总体中抽出n个样本,其中k个是无效的的概率:
(5-3)
上式可如此理解:

表示总体N中抽出n个的方法数目.

表示在m个样本中,抽出k个不及格样本的方法数目.剩下来的样本都是及格的,而及格的样本有N-m个,剩下的抽法便有

种.
若n=1,超几何分布还原为伯努利分布.
若n接近无穷,超几何分布可视为二项分布
超几何分布的概率密度函数如图5-5所示.参数为50,40,30和50,30,40的概率密度函数是完全重合的
相关函数:
sf_hygepdf(x:array,M:Integer,k:Integer,n:Integer ,v:array)
sf_hygecdf(x:array,M:Integer,k:Integer,n:Integer,v:array)
sf_hygeinv(y:array,M:Integer,k:Integer,n:Integer,v:array)
Randhyge(M:Integer,k:Integer,n:Integer,row:Integer,col:Integer)
其中各参数说明如下:
x:随机变量 ,实数,一位数字数组,二维数字数组
y:分布函数值,实数,一维数字数组,二维数字数组
M:总体数目,非负整数;
k:总体标数目,非负整数;
n:抽样数目,非负整数;
v:返回变参,概率或累计概率或随机变量,维度和函数第一个变量一致
row:行数,也可以是行名数组
col:列数,也可以是列名数组
更多具体请参考各函数说明:
sf_hygepdf,
sf_hygecdf,
sf_hygeinv,
Randhyge
图5-5超几何分布概率函数