若随机变量有n个不同值,具有相同概率,则我们称之为离散均匀分布,通常发生在我们不确定各种情况发生的机会,且认为每个机会都相等,例如:投掷骰子等.
设离散随机变量

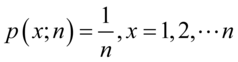
之可能变量有1,2,3….n,若其概率函数为

(5.1)
则称X服从离散均匀分布.
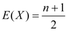
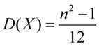
数字特征:

,

.
相关函数:
sf_unidpdf(x:array,n:Integer,v:array)
sf_unidcdf(x:array,n:Integer,v:array)
sf_unidinv(y:array,n:Integer,v:array)
Randunid(n:Integer,row:Integer,col:Integer)
其中参数:
x:随机变量,实数,一位数字数组,二维数字数组
y:分布函数值,实数,一维数字数组,二维数字数组
n:分布参数,整数;
v:返回变参,概率或累计概率或随机变量,维度和函数第一个变量一致
row:行数,也可以是行名数组
col:列数,也可以是列名数组
具体请参考各函数说明:
sf_unidpdf,
sf_unidcdf,
sf_unidinv,
Randunid