小波分析是基于泛函分析、傅里叶分析以及样条分析等基础上发展起来的一种全新的分析方法,它凭借其在时频域良好的局部分析能力,被誉为“数学显微镜”,受到了众多研究者们的青睐,被广泛应用于语音识别、图像处理、地质勘探,信号分析等应用领域,并且都有不错的表现。金融时间序列表现出较强的非平稳性和长记忆性,这使得许多传统的单独集中于时域或频域研究的分析方法不太适用。近十年,研究者们开始将小波分析引入经济与金融领域,试图利用小波分析方法提取金融数据中蕴含的有效信息,从而对一些经济金融现象进行量化、分析与预测。
假设原始的时间序列

,选择合适的小波函数和小波分解层次,计算时间序列

到第

层的小波分解.即首先对含噪信号

进行小波变换,得到1 组小波系数

.根据多分辨率分析理论, 分解的层次越高, 去掉的低频成份就越多, 而低频程份主要代表“有用信号”.因而分解的层次越高, 去噪效果越好, 但是造成的后果是相应的失真程度也越大.为了建立合理的模型, 我们一般选择的分解层次为3到4层即可.
表10-1 Tinysoft现有小波
|
小波类 |
小波 |
|
Daubechies |
'db1' or 'haar', 'db2', ... ,'db45' |
|
Coiflets |
'coif1', ... , 'coif5' |
|
Biorthogonal |
'bior1.1','bior1.3','bior1.5','bior2.2','bior2.4',
'bior2.6','bior2.8','bior3.1','bior3.3','bior3.5',
'bior3.7','bior3.9','bior4.4','bior5.5','bior6.8' |
|
Reverse Biorthogonal |
'rbio1.1','rbio1.3','rbio1.5','rbio2.2','rbio2.4',
'rbio2.6','rbio2.8','rbio3.1','rbio3.3','rbio3.5',
'rbio3.7','rbio3.9','rbio4.4','rbio5.5', 'rbio6.8' |
将分解得到的小波系数进行阈值处理来区分信号和噪声. 阈值的确定对消噪性能有很大影响, 阈值过高会使信号失真, 阈值过低又使得去消噪不完全. 选取阈值一般主要有两种确定方式,一是通过原始信号来确定,另外还可以通过样本估计来确定阈值。通过原始信号确定阈值时需要借助于原信号中的信噪比

:
(10.1)
其中

—阈值

—样本容量

—信噪比。
通过样本估计来确定阈值有以下几种常用准则:
1)无偏风险估计准则(rigrsure),即一种基于史坦(Setin)的无偏似然估计原理的自适应阂值选择方法,对每个阈值求出对应的风险值,风险最小的即为所选;
2)固定阈值准则(sqtwolgo),设

为小波系数向量长度,则对应的阈值为

;
3)混合闭值准则:用于最优预测变量阈值的选择,它是rigrsure准则和sqtwolgo准则的混合。当信噪比较低时,rigrsure准则有很大噪声,此时应选择固定阈值准则;
4)最小最大阈值准则(minimax):该准则使得选取的阈值有最小的极大方差,而不是没有误差,可通过统计学上估计器的构造方法得到,因为被消噪的信号可以看作与未知回归函数的估计器相似,这种极值估计器可在给定的函数中实现最大均值误差最小化。
以上四种阈值准则中,rigsrure准则和sqtwolog准则是相对比较保守的准则,它仅是部分系数置零,可以保留较多的高频信号。因而根据金融数据高频性特征,我们一般可以选择rigrsure准则或sqtwolog准则来确定阈值。
作用阈值:在求得阈值后,有两种对信号作用阈值的方法,一种是令绝对值小于阈值的小波系数为零,仅保留绝对值大于阈值的小波系数,即硬阈值方法,其表达式如下:
(10-2)
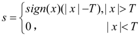
另一种软阈值方法是令绝对值小于阈值的小波系数为零,并把绝对值大于阈值的小波系数向零做收缩,其表达式如下
(10-3)
硬阈值方法可以保留信号中真实的尖峰特征,但是某些点上可能会出现间断,而在硬阈值的基础上将边界出现的不连续点收敛到零的软阈值方法,既可以有效地避免了间断,又使重构的信号较为光滑。
通过阈值选择的高频和低频系数及小波逆变换公式, 可计算出信号的小波重构, 以达到消噪的目的. 常用的小波变换重构公式为
(10-4)
其中,

为尺度系数,

为小波系数,

和

分别对应尺度函数

和小波函数

的低通和高通滤波器