TSL语言基础 > 数学与统计教程 > 回归分析

二元离散选择模型    

  •   
      这时,我们就可以将因变量看成一个概率了。
      那么这时的扰动项的方差为:

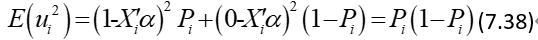
      由6-13,我们知道,扰动项具有异方差性,考虑加权最小二乘,但是加权最小二乘又不能保证在0,1之间。
      假设有一个未被观察到的潜在变量

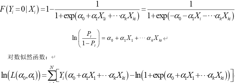
      其中 的分布函数,要求它是一个连续函数,并且是单调递增的,因此,原始的回归模型可以看成如下的一个回归模型:

      即关于它的条件均值的一个回归。
      这里我们的使用logistic函数,就是我们要的逻辑模型。


    二元离散选择模型Regress_Binary