TSL语言基础 > 数学与统计教程 > 回归分析 > 多重共线性的修正

逐步回归    

  •   首先,我们定义一个统计量,设原模型为中所含解释变量的集合为,则在解释变量中加入后,我们有
    (7.21)

      式7.21形式和F统计量类似,所以我们将其叫做伪统计量。
      这样我们就可以给出逐步回归的基本步骤了:
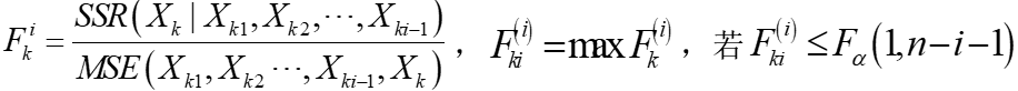
    1)对每一个,对解释变量单独做回归计算进入模型,否则没有变量进入模型,这时我们认为所有解释变量对的影响都不显著。
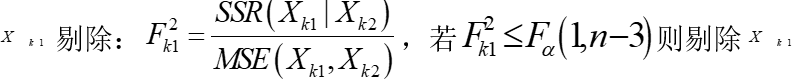
    2)在第一步的基础上在剩下的个解释变量逐个加入到模型中,并计算相应的没有变量进入模型,第一步得到的模型就是最优模型。否则选择进入模型,考虑是否要将
    3)没有变量进入模型,上一步得到的模型就是最优模型。否则选择进入模型,考虑是否要将剔除。
      重复3直到没有变量进入模型,而且所有进入的变量都不能被剔除为此。最后一个模型就是我们要选取得最优模型。
      不足之处:该方法最终只提供一个“最优”回归方程,而无其他选择的余地

    逐步回归模型Regress_Stepwise