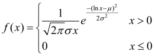
许多偏态分布变量经过适当选择的变化后,就服从或近似服从正态分布,对数变换是典型的例子之一。
称随机变量服从参数为

的对数正态分布,记为

,如果它有密度(如图5-23)。
(5.40)
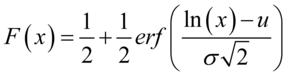
分布函数:

(如图6-18-2)
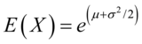
数字特征:

,
图5-23对数正态分布概率密度
相关函数:
sf_lognpdf(x:array,mu:real,sigma:real,v:array)
sf_logncdf (x:array,mu:real,sigma:real,v:array)
sf_logninv (y:array,mu:real,sigma:real,v:array)
Randlogn(mu:real,sigma:real,row:Integer,col:Integer)
各参数说明:
x:随机变量 ,实数,一位数字数组,二维数字数组
y:分布函数值,实数,一维数字数组,二维数字数组
mu:对数正态分布参数1,实数
sigma:对数正态分布参数2,大于0的实数
v:返回变参,概率或累计概率或随机变量,维度和函数第一个变量一致
row:行数,也可以是行名数组
col:列数,也可以是列名数组
更多请参考各函数帮助说明:
sf_lognpdf,
sf_logncdf,
sf_logninv,
Randlogn