正态分布又名高斯分布,若随机变量

服从一个位置参数为

、尺度参数为

的概率分布,记为:
(5.18)
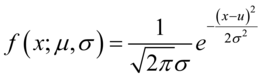
则其概率密度函数为
(5.19)
正态分布的数学期望值或期望值

等于位置参数,决定了分布的位置;其方差

的开平方或标准差

等于尺度参数,决定了分布的幅度.
正态分布的概率密度函数曲线呈钟形,因此人们又经常称之为钟形曲线.我们通常所说的标准正态分布是位置参数

,尺度参数

的正态分布.(如图5-14)
函数曲线下68.27%的面积在

左右的一个

范围内,95.45%的面积在

左右两个标准差

的范围内,99.73%的面积在

左右三个标准差

的范围内.99.99%的面积在

左右四个标准差

的范围内(如图5-15).

图5-14 正态分布密度概率函数图5-15 正态分布数据分布状况
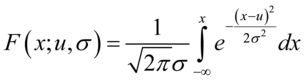
正态分布的累积分布函数可以表示为
(5.20)
正态分布的累积分布函数能够由一个叫做误差函数的特殊函数表示:
(5.21)
标准正态分布的累积分布函数习惯上记为

,它仅仅是指

时的值.
(5.21)
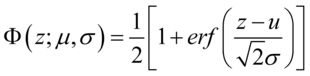
将一般正态分布用误差函数表示的公式简化,可得:
(5.22)
它的反函数被称为反误差函数,为
(5.23)
该分位数函数有时也被称为probit函数.probit函数已被证明没有初等原函数.正态分布的分布函数

没有解析表达式,它的值可以通过数值积分、泰勒级数或者渐进序列近似得到.
中心极限定理:在特定条件下,大量统计独立的随机变量的平均值的分布趋于正态分布,这就是中心极限定理.中心极限定理的重要意义在于,根据这一定理的结论,其他概率分布可以用正态分布作为近似.
正态分布的一些性质:
1)如果

且

与

是实数,那么

,

.
2)如果

与

是统计独立的正态随机变量,那么它们的和也满足正态分布

,它们的差也满足正态分布

.

和

是相互独立的.
3)如果

与

是独立正态随机变量,那么:它们的积

服从概率密度函数为

的分布
其中

是修正贝塞尔函数,它们的比符合柯西分布,满足
4)如果

为独立标准正态随机变量,那么

服从自由度为

的卡方分布.
5)

是瑞利分布,如果

,

与

是独立正态随机变量.
6)

是对数正态分布,如果

并且
相关函数:
sf_normpdf(x:array,mu:real,sigma:real,v:array)
sf_normcdf (x:array,mu:real,sigma:real,v:array)
sf_norminv (y:array,mu:real,sigma:real,v:array)
Randnorm(mu:real,sigma:real,row:Integer,col:Integer)
normfit(x:array,alpha:Real);
各参数说明:
x:随机变量 ,实数,一位数字数组,二维数字数组
y:分布函数值,实数,一维数字数组,二维数字数组
mu:正态分布位置参数,实数,缺省为0
sigma:正态分布尺度参数,缺省为1
v:返回变参,概率或累计概率或随机变量,维度和函数第一个变量一致
row:行数,也可以是行名数组
col:列数,也可以是列名数组
alpha:显著性水平,为0,1之间的实数,缺省为0.05
更多请参考各函数帮助说明:
sf_normpdf,
sf_normcdf,
sf_norminv,
Randnorm,
Normfit